
-
生物通官微
陪你抓住生命科技
跳动的脉搏
CRISPR代谢工程双效提升镰刀菌蛋白营养与可持续性
【字体: 大 中 小 】 时间:2025年11月21日 来源:TRENDS IN Biotechnology 14.9
编辑推荐:
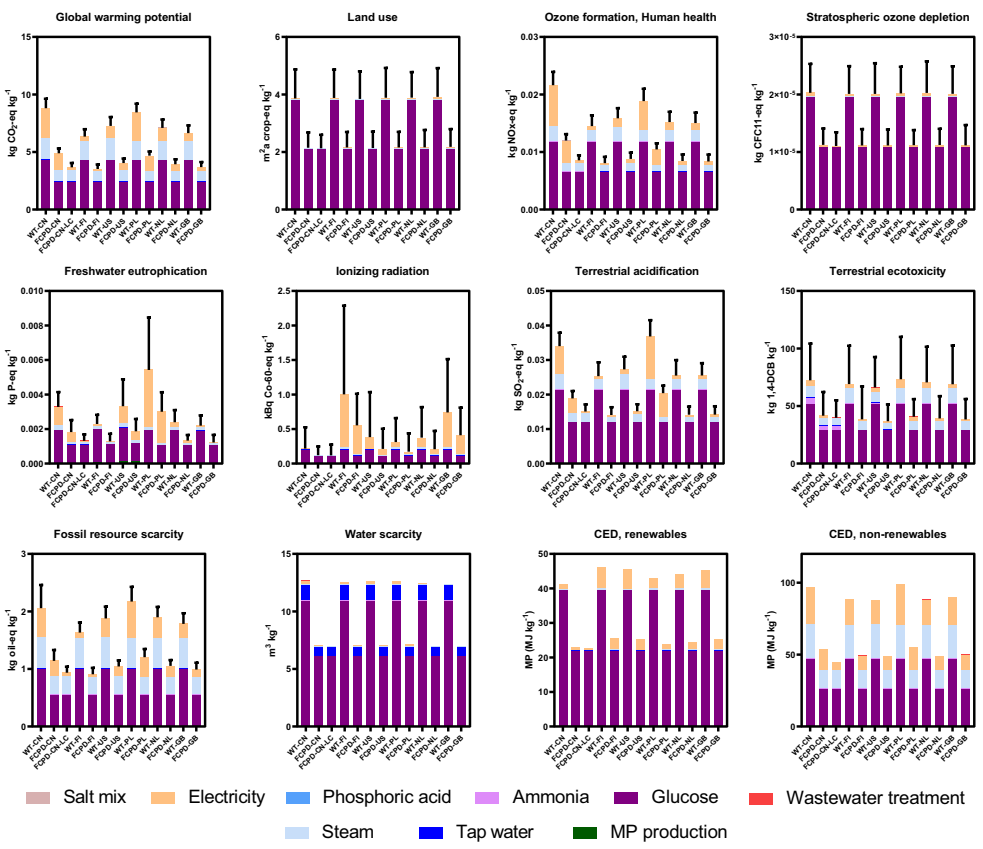
本研究针对传统真菌蛋白营养效价低、底物转化率不足及环境负担较重等问题,通过CRISPR/Cas9介导的无疤痕基因敲除技术对Fusarium venenatum进行代谢工程改造。研究成功构建了FCPD工程菌株,其必需氨基酸指数(EAAI)提升32.9%,底物消耗降低44.3%,蛋白质转化率提高至野生型的2.24倍。基于工业规模数据的生命周期评估(LCA)显示,在六国生产情景下FCPD可降低全球变暖潜能(GWP)4-61.3%,且环境表现优于细胞培养肉与鸡肉。该工作为基因编辑技术同步提升替代蛋白营养价值与环境可持续性提供了实证。





生物通微信公众号